Soal Matematika Jerome Polin
Jerome Polin Berhasil Pecahkan Soal Matematika Berisi Pin Atm Yang
Jerome Polin Berhasil Pecahkan Soal Matematika Berisi Pin Atm Yang
Bikin Ngakak 10 Rumus Matematika Kocak Ala Jerome Polin
Jerome Polin Youtuber Yang Dikenal Akrab Dengan Konten Matematik
Jerome Polin Si Peraih Beasiswa Di Jepang Doyan Unggah Video
Viral Soal Matematika Berisi Pin Atm Pria Ini Ungkap Jawabannya
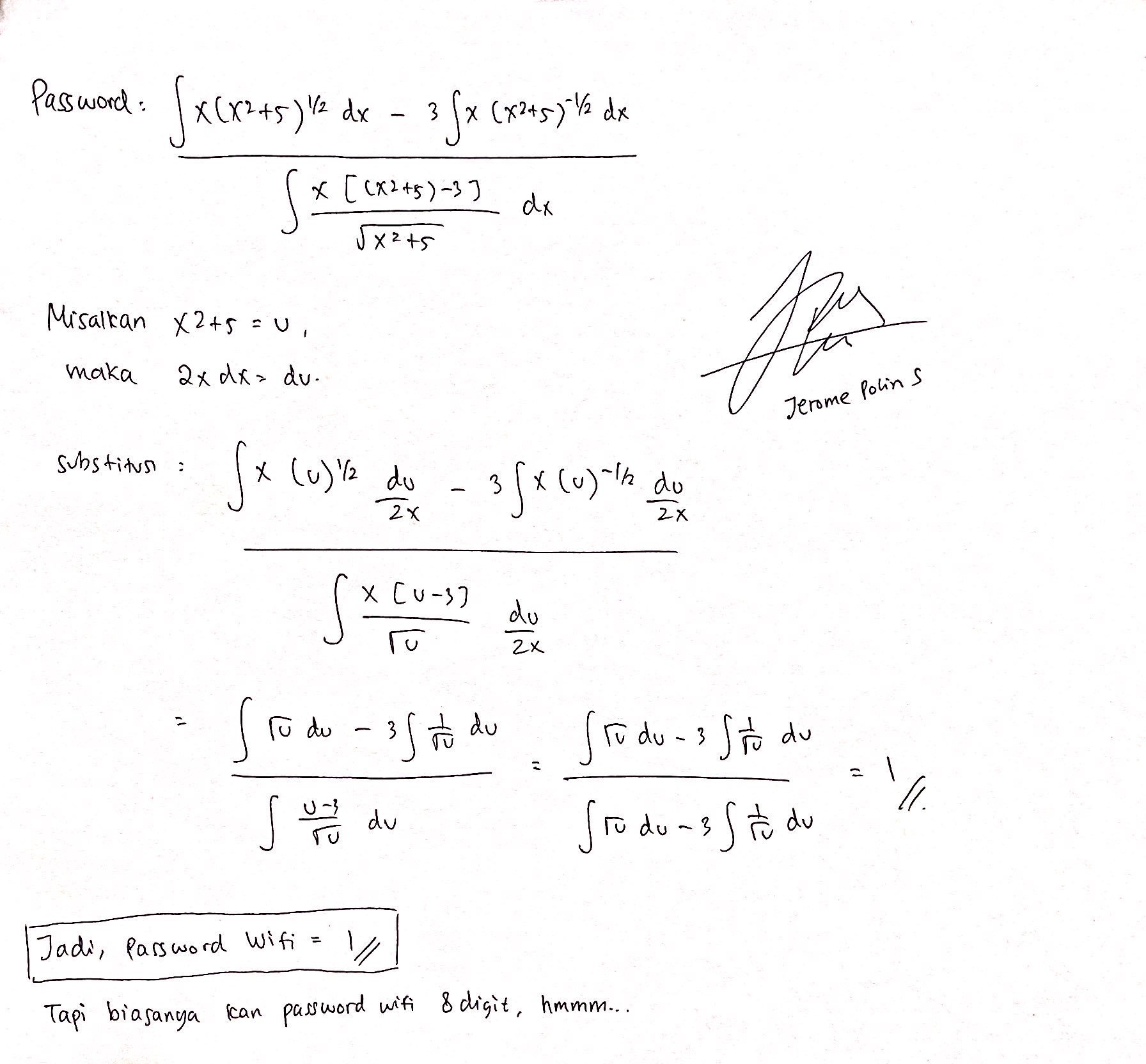
Membuktikan Soal Aneh Matematika Ala Jerome Polin Halaman 1
Jerome Polin Sijabat On Twitter Berhasil Terpecahkan Makasih
Bikin Ngakak 10 Rumus Matematika Kocak Ala Jerome Polin
Jerome Polin Sijabat On Twitter Tolong Kasi Tau Istrinya Dong
10 Fakta Mengenai Jerome Polin Pria Idaman Kids Jaman Now
Bikin Ngakak 10 Rumus Matematika Kocak Ala Jerome Polin
Jual Buku Mantappu Jiwa Buku Latihan Soal Oleh Jerome Polin
Jerome Polin Jatuh Cinta Dengan Matematika Dan Dunia Pendidikan
Jawab Soal Matematika Youtuber Jerome Polin Dibilang Kalkulator
Jerome Polin Sijabat On Twitter Berhasil Terpecahkan Makasih
Tips Ala Jerome Polin Agar Anak Suka Matematika
Anti Mainstream Ucapan Selamat Idul Fitri 1441 H Ajak Netizen
Cerita Youtuber Ganteng Peraih Beasiswa Yang Ajak Orang Senang
Jual Mantappu Jiwa Jerome Polin Sijabat Gramedia Pustaka Utama
Resensi Buku Buku Latihan Soal Mantappu Jiwa Karya Jerome Polin
Novel Mantappu Jiwa Buku Latihan Soal Jerome Polin Sijabat
Youtuber Indonesia Jerome Polin Sikat Soal Matematika Dengan
Kisah Jerome Polin Pada Buku Latihan Soal Mantappu Jiwa Whathefan
Komentar Lucu Jerome Polin Soal Nadiem Jabat Mendikbud
Jual Kompas Indonesia Bertahan Buku Referensi Murah Juni 2020
Sering Membantu Netizen Memecahkan Soal Matematika Ternyata Ini
Buku Latihan Soal Mantappu Jiwa Jerome Polin Sijabat
Jual Buku Latihan Soal Mantappu Jiwa Jerome Polin Sijabat Kota
Buku Mantappu Jiwa Buku Latihan Soal Matematika Jerome Polin
Bukulatihansoalmantappujiwa Instagram Posts Photos And Videos
Kerjakan Soal Matematika Di Tiktok Jerome Polin Panen Komentar
Youtuber Jerome Berbagi Tips Agar Anak Menyukai Matematika
Viral Soal Matematika Berisi Pin Atm Pria Ini Ungkap Jawabannya
Mantappu Jiwa Judul Buku Teranyar Jerome Polin
15 Cuitan Jerome Polin Di Twitter Garingnya Bikin Gregetan
Kerjakan Soal Matematika Di Tiktok Jerome Polin Panen Komentar
10 Bukti Perliaku Random Jerome Polin Di Twitter Tuh Nggak Semua
Mantappu Jiwa Buku Latihan Soal Ala Jerome Polin Original
Battle Matematika Jerome Vs Mahasiswa Math Ntu Youtube
Matematika Untuk Apa Greatmind
Berkat Jerome Polin Matematika Menjadi Sesuatu Yang Mudah Dan
Jerome Polin Youtuber Yang Dikenal Akrab Dengan Konten Matematik
Jual Mantappu Jiwa Buku Latihan Soal Oleh Jerome Polin Sijabat
Share Tips Yuk Review Buku Buku Latihan Soal Mantappu Jiwa
Jerome Polin Matematika Dan Youtube Antara News Jawa Timur
Kimberley Kecamatan Serpong Mahasiswa Matematika Terapan Kayak
Bandingkan Putri Tanjung Dengan Kakek Pendiri Kfc Youtuber
Jerome Polin Blak Blakan Soal Asmara Hingga Tertawakan Nagita
Review Buku Mantappu Jiwa Jerome Polin
Jerome Polin Sijabat On Twitter Soal Matematika Ada 2 Garis
Nasional 4 Tips Agar Anak Suka Matematika Dari Jerome Polin
Jerome Polin Sijabat Seleb Internet Dengan Berjuta Prestasi
Bahas Soal Perempuan Harus Bisa Masak Jerome Polin Sijabat Masak
97 000 Mantappu Jiwa Jerome Polin Obral Buku Lamongan Obl
Jual Buku Mantappu Jiwa Buku Latihan Soal Oleh Jerome Polin
Jerome Polin Jatuh Cinta Dengan Matematika Dan Dunia Pendidikan
15 Cuitan Jerome Polin Di Twitter Garingnya Bikin Gregetan
Mengenal Lebih Dekat Jerome Polin Si Peraih Beasiswa
Jerome Polin Cara Dapatkan Beasiswa Di Jepang Campuspedia Kabar
Buku Jerome Polin Mantappu Jiwa Terjual 2 000 Eksemplar Dalam 7
Debut Buku Youtuber Penyuka Matematika Jerome Polin Segera Beredar
Kerjakan Soal Matematika Di Tiktok Jerome Polin Panen Komentar
Tips Belajar Matematika Dengan Menyenangkan Dari Youtuber Jerome
Battle Matematika Vs Temen Satu Jurusan Di Jepang Youtube
Anti Mainstream Ucapan Selamat Idul Fitri 1441 H Ajak Netizen
Cinta Matematika A La Jerome Polin Dalam Buku Mantappu Jiwa
Jerome Polin Sijabat On Twitter Tau Cara Memecahkan Soal
10 Bukti Perliaku Random Jerome Polin Di Twitter Tuh Nggak Semua
Paling Diminati Mantappu Jiwa Jerome Polin Sijabat Gramedia
7 Hal Positif Yang Bisa Diteladani Dari Seorang Jerome Polin
Bukulatihansoalmantappujiwa Hashtag On Instagram
Buku Latihan Soal Mantappu Jiwa Adalah Zenius Education
Buku Mantappu Jiwa Buku Latihan Soal Matematika Jerome Polin
Buah Hati Ogah Belajar Matematika Ini 4 Tipsnya Dari Jerome Polin
Jerome Polin Rilis Buku Mantappu Jiwa Genmuda Com
Kesal Dibandingkan Dengan Putri Tanjung Yang Jadi Staf Khusus
4 Tip Buat Anak Suka Matematika Dari Youtuber Jerome Polin
Tips Wujudkan Mimpi Kuliah Di Negeri Sakura Ala Youtuber Jerome
Jual Mantappu Jiwa Buku Latihan Soal Jerome Polin Sijabat
Review Buku Mantappu Jiwa Jerome Polin Nangis Bombay Bacanya
Jerome Polin Sijabat On Twitter Video Baru Coba Ngerjain Soal
Selebgram Jerome Polin Diajak Kementerian Ristekdikti Buat Konten
Lebih Dekat Dengan Jerome Polin Youtuber Ganteng Yang Bercita
4 Tips Agar Anak Suka Matematika Dari Jerome Polin
15 Cuitan Jerome Polin Di Twitter Garingnya Bikin Gregetan
Jeromepolin Instagram Posts Photos And Videos Picuki Com
Kerjain Soal Matematika Gak Pake Kertas Cpns Youtube
Debut Buku Youtuber Penyuka Matematika Jerome Polin Segera Beredar
Jerome Polin Beberkan Awal Mula Jadi Youtuber Tenar
7 Fakta Jerome Polin Youtuber Indonesia Yang Dapat Beasiswa Di Jepang
5 Youtuber Indonesia Dengan Konten Inspiratif Kuliah Di Luar
Waseda Boys Goes To Indonesia Apa Saja Keseruan Mereka Portal
Viral Soal Matematika Berisi Pin Atm Pria Ini Ungkap Jawabannya
Selebgram Jerome Polin Diajak Kementerian Ristekdikti Buat Konten
Lebih Dekat Dengan Jerome Polin Youtuber Ganteng Yang Bercita



