Pemerintahan Kabupaten Cilacap
Cilacap merupakan kabupaten terluas di jawa tengah dengan luas wilayahnya sekitar 66 dari total wilayah jawa tengah. Tentang urusan pemerintahan kabupaten cilacap lembaran daerah kabupaten cilacap tahun 2008 nomor 17 tambahan lembaran daerah kabupaten cilacap nomor 25.
Kota cilacap pada tahun 1982 merupakan sebuah kota administratif yang meliputi 3 dari 24 kecamatan di.
Pemerintahan kabupaten cilacap. Pencabutan atas peraturan bupati cilacap nomor 26 tahun 2010 tentang penyerahan sebagian urusan pemerintahan kabupaten cilacap di bidang kependudukan dan catatan. Tentang urusan pemerintahan kabupaten cilacap lembaran daerah kabupaten cilacap tahun 2008 nomor 17 tambahan lembaran daerah kabupaten cilacap nomor 25. Liputan karnaval yang diselenggarakan oleh pemerintah kota cilacap dan diikuti oleh instansi pemerintahan sekolah komunitas dan berbagai lembaga maupun.
Cilacap untuk pertama kalinya pemerintah kabupaten cilacap mengirimkan beras hasil produksi gapoktan sumber makmur desa maos kidul ke pt. Begitu luasnya sehingga kabupaten. Kota cilacap merupakan ibu kota kabupaten cilacap.
Begitu luasnya sehingga kabupaten ini memiliki. Kegiatan perkemahan ilmiah remaja tahun 2017 di kabupaten cilacap telah dilaksanakan sejak tanggal 15 sampai 19 mei 2017 di hotel sindoro cilacapkegiatan yang baru. Salah satu upaya pemerintah untuk meningkatkan mutu pendidikan adalah ditetapkannya delapan 8 standar nasional pendidikan snp.
Cilacap merupakan kabupaten di provinsi jawa tengah dengan luas wilayahnya sekitar 62 dari total wilayah jawa tengah.
Kabupaten Cilacap Wikipedia Bahasa Indonesia Ensiklopedia Bebas
Logo Pemerintah Kabupaten Cilacap Propinsi Jawa Tengah 237 Design
Cilacapkab Go Id Website Resmi Pemerintah Kabupaten Cilacap
Cilacapkab Go Id Website Resmi Pemerintah Kabupaten Cilacap
Cilacapkab Go Id Website Resmi Pemerintah Kabupaten Cilacap
Profil Pemerintah Kabupaten Cilacap Qerja
Sekretariat Daerah Pemerintah Kabupaten Cilacap
Dasar Hukum Pemerintah Kabupaten Cilacap
Cilacapkab Go Id Website Resmi Pemerintah Kabupaten Cilacap
Pemerintah Kabupaten Cilacap Bambang Sutanto Pdf Page 002 Serayunews
Cilacapkab Go Id Website Resmi Pemerintah Kabupaten Cilacap Smeksas
Pemerintah Kabupaten Cilacap Bambang Sutanto Pdf Page 001 Serayunews
Bupati Cilacap Pemerintah Kabupaten Cilacap
Pemerintah Kabupaten Cilacap Syamsul Auliya Rachman Pdf Page 001
Peta Wilayah Pemerintah Kabupaten Cilacap
Tata Naskah Dinas Di Lingkungan Pemerintah Kabupaten Cilacap Ppt
Pemerintah Kabupaten Cilacap Fran Lukman Pdf Page 003 Serayunews
Pengumuman Lelang Seleksi Umum Pemerintah Kabupaten Cilacap
Logo Pemerintah Kabupaten Cilacap Propinsi Jawa Tengah 237 Design
Pemerintah Kabupaten Cilacap Tatto Suwarto Pamuji Pdf Page 006
Pemerintah Kabupaten Cilacap Pdf
Pengumuman Cpns Kabupaten Cilacap 2018 Lowongan Kerja Purwokerto
Kasdim Cilacap Bersama Unsur Pemerintahan Kabupaten Cilacap Sambut
Dprd Kab Cilacap Provinsi Jawa Tengah Lakukan Kunjungan Kerja Ke
Target Retribusi Menara Telekomunikasi Di Kabupaten Cilacap Naik 61
Sekretariat Daerah Pemerintah Kabupaten Cilacap
Pemerintah Kabupaten Cilacap Tatto Suwarto Pamuji Pdf Page 004
Bupati Cilacap Jdih Kab Cilacap
Pemerintah Kabupaten Cilacap Pdf Free Download
Upt Laboratorium Lingkungan Pemerintah Kabupaten Cilacap Merupakan
Berkas Bagan Stok Pemerintah Desa Cisumur Jpg Wikipedia Bahasa
Tata Naskah Dinas Di Lingkungan Pemerintah Kabupaten Cilacap Ppt
Berita Tandatangani Mou Kerjasama Dari Kabupaten Cilacap Dan
Pemerintah Kabupaten Cilacap Tatto Suwarto Pamuji Pdf Page 005
Pemerintah Kabupaten Cilacap 2
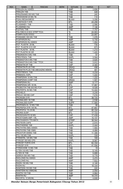
Standar Satuan Harga Kegiatan Pemerintah Kabupaten Cilacap
Berapa Sih Besaran Tpp Tamsilpeg Pns Kabupaten Cilacap Info Gaji
Infopublik Sekda Kabupaten Cilacap Buka Pekan Kegiatan Hut Korpri
Tamsil Pns Kabupaten Cilacap Tpp Pns
Pemerintah Kabupaten Cilacap Pdf Free Download
Selamat Hari Jadi Kabupaten Cilacap Ke 162 Pemerintah Kabupaten
Infopublik Mutasi Jabatan Kabupaten Cilacap Untuk Penyegaraan
Um Purwokerto Jalin Kerja Sama Dengan Pemerintah Kabupaten Cilacap
Cpns 2018 2019 Cilacap Seputarcpns Media Informasi Untuk Calon
Hasil Verifikasi Administrasi Calon Pppk Pemerintah Kabupaten
Pemkab Cilacap Menggelar Forum Konsultasi Publik Rancangan Awal Rkpd
Kabupaten Cilacap Gagas Desa Bebas Garam Non Yodium Dan Bebas
Pemerintah Kabupaten Cilacap Fran Lukman Pdf Page 002 Serayunews
Dprd Dorong Pemkab Cilacap Cari Solusi Persoalan Gtt Dan Ptt
Perjalanan Dinas Pemerintah Kabupaten Cilacap Mafiadoc Com
Kasdim Cilacap Bersama Unsur Pemerintahan Kabupaten Cilacap Sambut
Pemerintah Kabupaten Cilacap Esde Kertajaya Academia Edu
Peraturan Bupati Cilacap No 88 Tahun 2013 Tentang Penyelenggaraan
Kodim Cilacap Tes Fisik Calon Satpol Pp Pemerintah Kabupaten Cilacap
Pekan Promosi Cilacap Expo 2018 Adalah Pameran Nasional Nasional
Tata Naskah Dinas Di Lingkungan Pemerintah Kabupaten Cilacap Ppt
Diduga Ada Kongkalikong Manipulasi Data Oleh Pihak Dkp Kab Cilacap
Bps Kabupaten Cilacap Dear Data Lovers Tahun 2018 Bisa
Pemerintah Kabupaten Cilacap Gelar Rapat Upsus Barometer Medan
Ssh Lampiran I Pemerintah Kabupaten Cilacap
Pdf Pemerintah Kabupaten Cilacap Pajak Daerah Di Kabupaten Cilacap
Cilacapkab Go Id Website Resmi Pemerintah Kabupaten Cilacap Smeksas
Cilacapkab Go Id Website Resmi Pemerintah Kabupaten Cilacap
Cilacap Expo 2018 Siap Digelar Pemerintah Provinsi Jawa Tengah
Pekan Promosi Cilacap Expo 2018
Dinsos Kab Cilacap Dinsos Cilacap Twitter
Pemerintah Kabupaten Cilacap Tatto Suwarto Pamuji Pdf Page 001
Biro Pemerintahan Dan Kerjasama Provinsi Jawa Barat
1news Id Pemerintah Kabupaten Cilacap Siapkan Agenda 17an
Hapus Pungli Pemkab Cilacap Launching Aplikasi Paten Radar Banyumas
Hoax Pesan Berantai Untuk Segera Hubungi Sekda Cilacap Turnbackhoax
Pelajari Penegakan Perda Dprd Kabupaten Cilacap Studi Banding Ke
Bimbingan Teknis Pengembangan Sistem Informasi Desa Sid
Presentase Penduduk Miskin Di Cilacap Menurun Suaramerdeka Com
Bawaslu Dan Aparat Tertibkan Apk Liar Di Cilacap Kupas Merdeka
Laman Kpu Kabupaten Cilacap Surat Keputusan Bupati Cilacap
Dinas Kominfo Cilacap Home Facebook
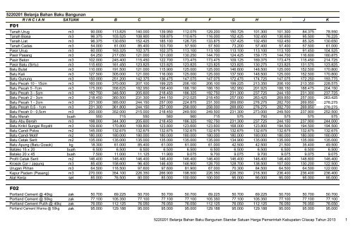
Ssh Bahan Bangunan Pemerintah Kabupaten Cilacap
Kodim 0703 Cilacap Tes Fisik Calon Satpol Pp Pemerintah Kabupaten
Pemerintah Kabupaten Cilacap Ruang Publik Dan Informasi
Pekan Promosi Cilacap Expo 2018 Cilacap Expo
Kasdim Cilacap Bersama Unsur Pemerintahan Kabupaten Cilacap Sambut
Pemerintah Kabupaten Cilacap Dinas Penanaman Modal Dan Pelayanan
Cilacapkab Go Id Website Resmi Pemerintah Kabupaten Cilacap
Cilacap Jadi Perwakilan Indonesia Untuk Memaparkan Kota Tangguh
Dinas Lingkungan Hidup Dlh Kabupaten Cilacap 1 Tips
Kabupaten Cilacap Bersama Lipi Aktif Bina Generasi Muda Dan Kerja
Cilacapkab Cilacapkab Go Id Website Resmi Pemerintah Kabupaten
Pemerintah Kabupaten Cilacap Fran Lukman Pdf Page 006 Serayunews





