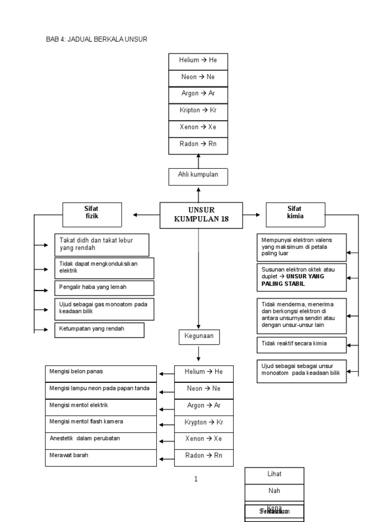
Jadual Berkala Unsur Kimia
Bab 7 asid bes dan garam. Tapi kenapa bab 8 dan 9 tiada nota.
Jadual Berkala Moden Nota Ulangkaji Kimia Spm Tingkatan 4 Tingkatan 5
Ia merupakan ahli kumpulan dalam unsur kimia yang bernama logam lemah.
Jadual berkala unsur kimia. Aluminium adalah unsur kimia dalam jadual berkala yang mempunyai simbol al dan nombor atom 13. Logam ini secara asli boleh didapati dalam bentul ketulan. Bab 3 formula dan persamaan kimia.
Sye mohon izin utk save nota2 ini ya. Satu unsur kimia sintetik. Memudahkan sye dan rakan2 memahami kimia.
Bab 4 jadual berkala unsur. Garam garaman utama yang terdapat dalam air laut adalah klorida 55. English a synthetic chemical element.
Emas atau mas ialah unsur kimia dalam jadual berkala yang mempunyai simbol au l. Blog cikgu sains dan kimia yang fanatik dengan sofbol dan drama. Nak tahu harga roadtax kereta anda.
Terima kasih berkongsi nota ni. Blog ini di bangunkan pada 12 jun 2011 utuk dijadikan ruangan perkongsian maklumat tentang kimia spm khususnya untuk pelajar pelajar tingkatan 5st 4st smk ayer. Bab 2 struktur atom.
Di katakan biasanya kerana pelajar aliran sastera pun boleh. Harga roadtax perodua myvi 13cc rm70 axia 10cc rm20 alza rm90 bezza 13 rm70 honda brv 15 rm90 toyota. Bab 5 ikatan kimia.
Md contoh penggunaan. Aurum dan nombor atom 79. Nombor atom bagi mendelevium.
Misalnya kadar garam yang terdapat dalam air laut zat zat kimia yang mencemari dll. Kimia merupakan salah satu subjek yang biasanya di ambil oleh pelajar pelajar aliran sains tulen.
Jadual Berkala Wikipedia Bahasa Melayu Ensiklopedia Bebas
4 4 Pengelasan Unsur Dalam Jadual Berkala
Kimia 4 5 Jadual Berkala Unsur
Jadual Berkala Unsur Malaysia Periodic Table Of The Elements
Bab 4 Jadual Berkala Tingkatan 4
Skpkurikulum Perkaitan Jadual Berkala Unsur Dalam Kehidupan
Jadual Berkala Unsur Malaysia Periodic Table Of The Elements
Unsur Unsur Peralihan Tuisyen My
Segalanya Bermula Di Sini Jadual Berkala Unsur Vs Jadual Berkala
Senarai Unsur Mengikut Simbol Wikipedia Bahasa Melayu
Unsur Terbaru Berada Pada 117 Dalam Jadual Berkala Myrokan
Sains Tingkatan 4 Bab 4 4 4 Pengelasan Unsur Dalam Jadual Berkala
Mengenal Pasti Domain Hubungan Tuple Dan Atribut Berdasarkan
Jadual Berkala Unsur Unsur 3 0 Muat Turun Apk Untuk Android Aptoide
Cara Mudah Belajar Periodic Table Manma Site
My Share Learning Content 4 4 Pengelasan Unsur Dalam Jadual Berkala
Koleksi Tugasan Jadual Berkala Moden
Kejadian Letupan Belon Hidrogen Ialah Sejarah Yang Berulang Kembali
Unsur Unsur Peralihan Dan Sifatnya Nota Ulangkaji Kimia Spm
Koleksi Tugasan Asas Sains Gunaan Jadual Berkala
Jadual Berkala Wikipedia Bahasa Melayu Ensiklopedia Bebas
Minds On Chemistry Jadual Berkala Kimia
Jadual Berkala Unsur Unsur Pro Apl Di Google Play
4 4 Pengelasan Unsur Dalam Jadual Berkala
Panitia Sains Ssbj Jadual Berkala Unsur
Groups And Periods In The Periodic Table Youtube
Jadual Berkala Unsur Malaysia Periodic Table Of The Elements
Agus Waluyo Lagu Kimia Menghafal Susunan Berkala Unsur Unsur
Jadual Berkala Unsur Animated Gifs Photobucket
Senarai Apps Berguna Untuk Guru Dan Pelajar Kimia Majalahsains
Jadual Berkala Unsur Gambar Unduh Gratis Imej 400015927 Format
Bab 4 Jadual Berkala Tingkatan 4
20110330010304kuliah Jadual Berkala 1
Periodic Table Of Elements Spm Chemistry Jadual Berkala Unsur
Perkembangan Jadual Berkala Nota Ulangkaji Kimia Spm Tingkatan 4
Sejarah Perkembangan Jadual Berkala Unsur
Jadual Berkala Unsur Panitiakimiasmktp
Bagaimana Untuk Mencari Jisim Molar Suatu Bahan Sains Semulajadi
Teori Tetangsi Untuk Orang Kebanyakan Fiziklah
Jadual Berkala Unsur By Che Nurul Mardhiah On Prezi
4 4 Pengelasan Unsur Dalam Jadual Berkala
Jadual Berkala Kimia Gambar Unduh Gratis Imej 400054829 Format
Tip 1 Bagaimana Untuk Belajar Membaca Jadual Kimia D I Mendeleev
Jadual Berkala Unsur Malaysia Periodic Table Of The Elements
Bab 4 Jadual Berkala Unsur Nota Cikgu Shu
Modul 3 Pdp Bab Jadual Berkala Unsur Kimia
Jadual Berkala Form 4 Periodic Table Quiz Quizizz
Muat Turun Tabel Periodik Unsur Kimia V3 Android Aplikasi
Bab 4 Jadual Berkala Tingkatan 4
Mengenal Pasti Domain Hubungan Tuple Dan Atribut Berdasarkan
Jadual Berkala Simbol Unsur Kimia Kuiz Di App Store
Nyalakan Pelita Pada Ilmu Kimia The Patriots
Progressive Scientific Sdn Bhd Chart Chemistry
Oxford Table Principlesofafreesociety
Aktiviti Pembentangan Kimia Bab 4 Jadual Berkala Cikguhailmi
Jadual Berkala Unsur By Annie Batrisyia On Prezi
Kimia Organik Wikipedia Bahasa Melayu Ensiklopedia Bebas
Latihan Kimia Past Years Jadual Berkala Docx Document
Eksperimen Bercita Cita Menghasilkan Cahaya Pada Jarak Jauh Dari
Jadual Berkala Kuiz Revenue Download Estimates Google Play
Sejarah Perkembangan Jadual Berkala Aya Roy Academia Edu
Kala Ke 7 Jadual Berkala Kini Lengkap Dengan Pengesahan Penemuan
Jadual Berkala Jadual Berkala Kimia Pembelajaran Png Dan Vektor
Tip 1 Bagaimana Untuk Mencari Berat Molekul Sains Semulajadi 2019
Modul 3 Pdp Bab Jadual Berkala Unsur Kimia
Bab 4 Jadual Berkala Unsur By Nur Faiqah On Prezi
Tuitionbangi Hash Tags Deskgram
Susunan Berkala Unsur Pdf Document
Embed Of Sejarah Perkembangan Jadual Berkala




















