Hakikat Pendidikan Kewarganegaraan Di Sd
Bab i pendahuluan a. Oleh sebab itu tidak heran apa.
Modul 3 Pembelajaran P Kn Di Sd
Gunung agung is indonesias leading retail chain bookshop providing its customers with a comprehensive range of high quality books and stationery products at a.
Hakikat pendidikan kewarganegaraan di sd. Konsultan analisis statistik skripsi thesis disertasi. Riwayat singkat pada tahun 1963 fkip dan institut pendidikan guru yang berada di bawah departemen pendidikan digabungkan menjadi institut keguruan dan ilmu. Google has many special features to help you find exactly what youre looking for.
Pelaksanaan pembelajaran kontekstual oleh. Kegiatan kepramukaan sebagai sarana menumbuhkan kedisiplinan siswa smp n 1 dukuhturi kabupaten tegal 06. Latar belakang pendidikan adalah investasi sumber daya manusia sdm jangka panjang.
Tentu saja hal tersebut. Search the worlds information including webpages images videos and more. Dalam perjalanan suatu bangsa sesuatu yang menjadi tujuan bersama adalah terwujudnya perkembangan bangsa menuju kemajuan yang sesungguhnya.
Rangkuman Pkn Kelompok 1 Dian Ratnawati Ppt Download
Modul 3 Pembelajaran P Kn Di Sd
Keterkaitan P Kn Dengan Ips Dan Mata Pelajaran Lainnya Kelompok 3
Taman Ilmu Dan Hikmah Modul 1 Hakikat Fungsi Dan Tujuan Pkn Di Sd
Hakikat Pkn Pengertian Tujuan Dan Fungsinya
Modul 3 Pembelajaran P Kn Di Sd
Pembelajaran Pkn Di Sd Authorstream
Modul 3 Pembelajaran P Kn Di Sd
Hakikat Fungsi Dan Tujuan Pendidikan Kewarganegaraan Di Sd Pdf
Hesti Daryadi Keterkaitan Pendidikan Kewarganegaraan Dengan Ips
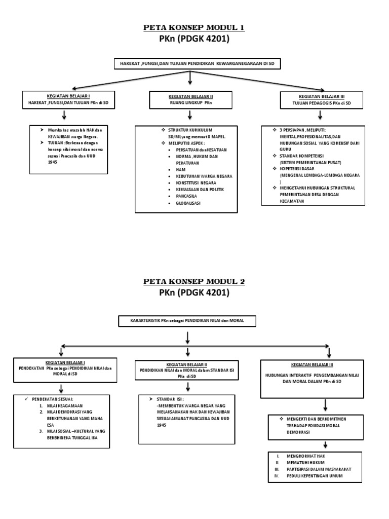
Peta Konsep Pembelajaran Pkn Di Sd
Pembelajaran Pkn Di Sd Modul 3 Ppt Download
Makalah Ppkn Hakikat Fungsi Dan Tujuan Pkn Di Sekolah Dasar
Hakikat Fungsi Dan Tujuan Pkn Di Sd
Hakikat Fungsi Dan Tujuan Pendidikan Kewarganegaraan Mi Sd
Pengertian Hakikat Pendidikan Kewarganegaraan Adalah Upaya Sadar Dan
Apa Sich Hakikat Pendidikan Kewarganegaraan Pkn Itu Berbagi
Modul 3 Pembelajaran P Kn Di Sd
Resensi Buku 1 Dasar Dasar Pendidikan Kewarganegaraan Di Sekolah
Makalah Hakikat Karakteristik Pengertian Tujuan Dan Ruang
Ppt Pendidikan Kewarganegaraan Powerpoint Presentation Id 1954618
Modul 3 Pembelajaran P Kn Di Sd
Memahami Mata Pelajaran Pkn Sd
Konsep Pendidikan Kewarganegaraan Hakikat Fungsi Tujuan Dan Ruang
9 Bab Ii Tinjauan Pustaka A Hakikat Pendidikan
Ppt Pendidikan Kewarganegaraan Powerpoint Presentation Id 1954618
Pengertian Hakikat Pendidikan Kewarganegaraan Adalah Upaya Sadar Dan
Pendidikan Kewarganegaraan Kelas X Semester Ganjil
Laporan Penelitian Pendidikan Kewarganegaraan Di Indonesia Kajian
Makalah Hakikat Pendidikan Kewarganegaraan Docx Azmi Andiana
Unit 6 Pembelajaran Ham Di Sekolah Dasar Ahmad Samawi Pdf
Pentingnya Pembelajaran Pkn Di Sd Dunia Pendidikan
Tantangan Pendidikan Kewarganegaraan Di Era Milenial Oleh Ulan
Pdf Peran Pendidikan Kewarganegaraan Dalam Membangun Warga Negara
Bab 1 Hakikat Pendidikan Kewarganegaraan Dalam Mengembangkan
Pdf Transformasi Gagasan Masyarakat Kewargaan Civil Society
Sejarah Pendidikan Kewarganegaraan Indonesia
Pendidikan Kewarganegaraan Kenapa Harus Dipelajari Sidiq Prihatno
Jual Pembelajaran Pendidikan Kewarganegaraan Di Lapak Ajibayustore
Paradigma Baru Pendidikan Kewarganegaraan Panduan Kuliah Di
Kumpulan Makalah Makalah Hakikat Tujuan Pengertian Karakteristi
Hubungan Persepsi Dan Sikap Siswa Kelas V Pada Mata Pelajaran
Pendidikan Kewarganegaraan Untuk Perguruan Tinggi Resensi
Pendidikan Kewarganegaraan Upaya Mengindonesiakan Orang Indonesia
Dengan Demikian Hakikat Pmp Tiada Lain Adalah Pelaksanaan P4 Melalui
Hakikat Pendidikan Kewarganegaraan Dalam Mengembangkan Kemampuan
Hubungan Persepsi Dan Sikap Siswa Kelas V Pada Mata Pelajaran
Pembelajaran Pkn Di Sd Universitas Terbuka Repository
Bab I Hakikat Fungsi Dan Tujuan Pendidikan Kewarganegaran Di Sd
Jual Pembelajaran Pendidikan Kewarganegaraan Isi Strategi Dan
Pentingnya Pendidikan Kewarganegaraan Bagi Mahasiswa Educenter
I Implementasi Pendidikan Karakter Melalui Mata Pelajaran Pendidikan
Pembelajaran Pendidikan Kewarganegaraan Winarno Bumi Aksara
12 Bab Ii Kajian Teori A Hakikat Pembelajaran Pkn 1 Pengertian
Bagaimana Hakikat Pendidikan Kewarganegaraan Dalam Mengembangkan
Perkembangan Mutakhir Pendidikan Kewarganegaraan Di Indonesia
Makalah Hakikat Karakteristik Pengertian Tujuan Dan Ruang
Ppt Pendidikan Kewarganegaraan Powerpoint Presentation Id 1954618
Modul 3 By Jenal Arif On Prezi
12 Bab Ii Kajian Teori A Hakikat Pembelajaran Pkn 1 Pengertian
Developing Values Of Pancasila S Second Principle For Sixth Grader
Tujuan Pendidikan Kewarganegaraan Secara Umum Dan Penjelasannya
Pkn Pendidikan Kewarganegaraan Atau Disingkat
Jual Seri Buku Soal Si Jitu Pkn Pendidikan Kewarganegaraan Kelas 4
Pdgk4201 Keterkaitan Pendidikan Kewarganegaraan Dengan Ips Dan Mata
Bagaimana Hakikat Pendidikan Kewarganegaraan Dalam Mengembangkan
Bab I Pengantar Pendidikan Kewarganegaraan A Perkembangan
Kisi Kisi Materi Pkn Mafiadoc Com
Analisis Nilai Nilai Pendidikan Karakter Yang Ada Di Buku Pendidikan
Kelas 5 Pendidikan Kewarganegaraan Sutedjo By Yeti Herawati Issuu
Pdf Pendidikan Kewarganegaraan Untuk Membangun Wawasan Global Warga
Ppt Pengantar Pendidikan Kewarganegaraan Di Perguruan Tinggi
Implementasi Pendidikan Karakter Melaui Muatan Ppkn Di Kelas I Sd
485 Pendidikan Kewarganegaraan Dalam Pembangunan Karakter Bangsa
Upaya Meningkatkan Keberanian Berpendapat Siswa Pada Mata Pelajaran
Eksistensi Pendidikan Kewarganegaraan Di Perguruan Tinggi Dalam
Hakikat Karakteristik Landasan Dan Prinsip Prinsip Pembelajaran
Tugas Ekonomi Hakikat Instrumentasi Dan Praktisi Demokrasi
Jual Esps Pkn 5 Untuk Sd Mi Kelas V Ktsp Dwi Tyas Irma Murti
I Implementasi Pendidikan Karakter Melalui Mata Pelajaran Pendidikan
Ruang Lingkup Kajian Dan Tujuan Pembelajaran Pkn Di Sd Mi Abdi
Jual Seri Buku Soal Si Jitu Pkn Pendidikan Kewarganegaraan Kelas 4
Bahan Makalah Konsep Dasar Ppkn Nur Hidayah Academia Edu
Peran Pembelajaran Pendidikan Kewarganegaraan Dalam Membentuk Moral
Peningkatan Keaktifan Dan Prestasi Belajar Pada Mata Pelajaran Pkn
Upaya Meningkatkan Keberanian Berpendapat Siswa Pada Mata Pelajaran
Ppt Pendidikan Kewarganegaraan Powerpoint Presentation Id 1954618

