Toleransi Obat
Obat tertentu lihat pengaruh obat urin disimpan pada temperature. Kreatin disintesis di hati dan terdapat dalam hampir semua otot rangka yang berikatan dengan dalam bentuk.
By Winarni S Kep Ners Mkm Ppt Download
Sebagaimana kita ketahui narkotika di satu sisi merupakan obat atau bahan yang bermanfaat di bidang pengobatan atau pelayanan kesehatan dan pengembangan ilmu.
Toleransi obat. Diet rendah karbohidrat atau tinggi lemak dapat menyebabkan temuan positif palsu. Cara mengatasi ejakulasi dini obat. Merupakan salah satu situs kesehatan resmi yang selalu menyediakan infomasi informasi yang sangat.
Terdapat berbagai gejala klinis pada kulit akibat penyakit autoimun diantaranya penyakit kulit termasuk rasa gatal dan menggaruk yang menetap lesi luka lepuh. Kreatinin merupakan produk penguraian keratin. We are linking to this particularly great content on our website keep up the good writing.
Batas toleransi kesalahan ini dinyatakan dengan persentase. Semakin kecil toleransi. Trimakasih segalanya mohon saran dan bimbingan pengunjung semua.
Mohon maaf untuk semua pengunjung yang menyempatkan diri untuk membaca kisah nyata ini. Pendahuluan peran perawat dalam pemberian obat dan pengobatan telah berkembang dengan cepat dan luas seiring dengan perkembangan. Untuk menggunakan rumus ini pertama ditentukan berapa batas toleransi kesalahan.
Hipertensi adalah suatu keadaan dimana terjadi peningkatan tekanan darah sistolik 140 mmhg atau lebih dan tekanan darah diastolic 90 mmhg ataulebih. Medikasi dian ramawati skep ns.
52320021 Dosis Obat Farset Dasar
Kenali Perbedaan Antara Toleransi Obat Ketergantungan Obat Dan
Toleransi Obat Frolic With Insight
Dialogue101app Dialogue101 Addictions Center Toleransi Obat
Konsep Pengobatan Medication Ppt Download
Drug Addiction And Reward Circuits Of The Brain
Drug Addiction And Reward Circuits Of The Brain
Toleransi Obat Frolic With Insight
Oleh Drs Jumain Apt M Kes Ppt Download
Antibiotika Kemoterapetika Ppt Download
Gus Sholah Toleransi Obat Persoalan Bangsa
Lysergic Acid Diethylamide Obat Psychedelic Toleransi Obat Sejarah
Jurnal Adiksi Obat Translate Docx
Respon Individual Terhadap Obat
Toleransi Obat Frolic With Insight
Mekanisme Molekular Toleransi Obat Anti Nyeri Opioid E Jurnal
Peranan Dan Pengembangan Obat Ppt Download
Drug Addiction And Reward Circuits Of The Brain
Toleransi Obat Frolic With Insight
Farmakologi Ashfar Kurnia Ppt Download
Benzodiazepin Wikipedia Bahasa Indonesia Ensiklopedia Bebas
Farmakologi Maria Finit Academia Edu
Apoteker Anda Apoteker Anda Instagram Posts Deskgram
Terlalu Sering Minum Obat Pereda Nyeri Ini Akibatnya
Manfaat Traveling Untuk Milenial Belajar Toleransi Dan Obat Kegalauan
Manfaat Dan Risiko Pemakaian Obat Tidur Hello Sehat
Toleransi Opioid Pada Nyeri Neuropatik
Pengertian Toleransi Obat Menurutparaahli Com
Menteri Kesehatan Tidak Toleransi Apotek Yang Jual Obat Tanpa Resep
Ema Rachmawati Bag Farmasi Klinik Dan Komunitas Fakultas Farmasi
Alganax Manfaat Dosis Efek Samping Dokter Sehat
Kementerian Komunikasi Dan Informatika
Gambar Autisme Kesadaran Membingungkan Icon Hari Dunia April
Download Gratis Obat Toleransi Toleransi Ganja Smoking Ganja Png
Farmakologi Klinik Dari Terapi Anti Mikroba Ppt Download
Handout By I G K Wijasa Drs Mars Ppt Download
Bolehkah Minum Obat Melebihi Dosis Yang Dianjurkan Dokter Herbalo
Dumolid Obat Penenang Yang Bisa Juga Berakibat Fatal
Farmakologi Ashfar Kurnia Ppt Download
Interaksi Farmakodinamika Ppt Download
Tramadol Obat Apa Dosis Fungsi Dll Hello Sehat
Penampilan Ritalin Nama Nama Jalanan Untuk Obat Resep Ini Yayasan
Terminologi Yang Berhubungan Dengan Obat
Anda Kecanduan Narkoba Sekarang Sudah Ada Obatnya Klik Disini
Farmakologi Dianhusada Farmakologi
Pemantauan Terapi Obat Drug Therapy Monitoring Ppt Download
Tidak Ada Nasdem Toleransi Untuk Kader Obat Obatan
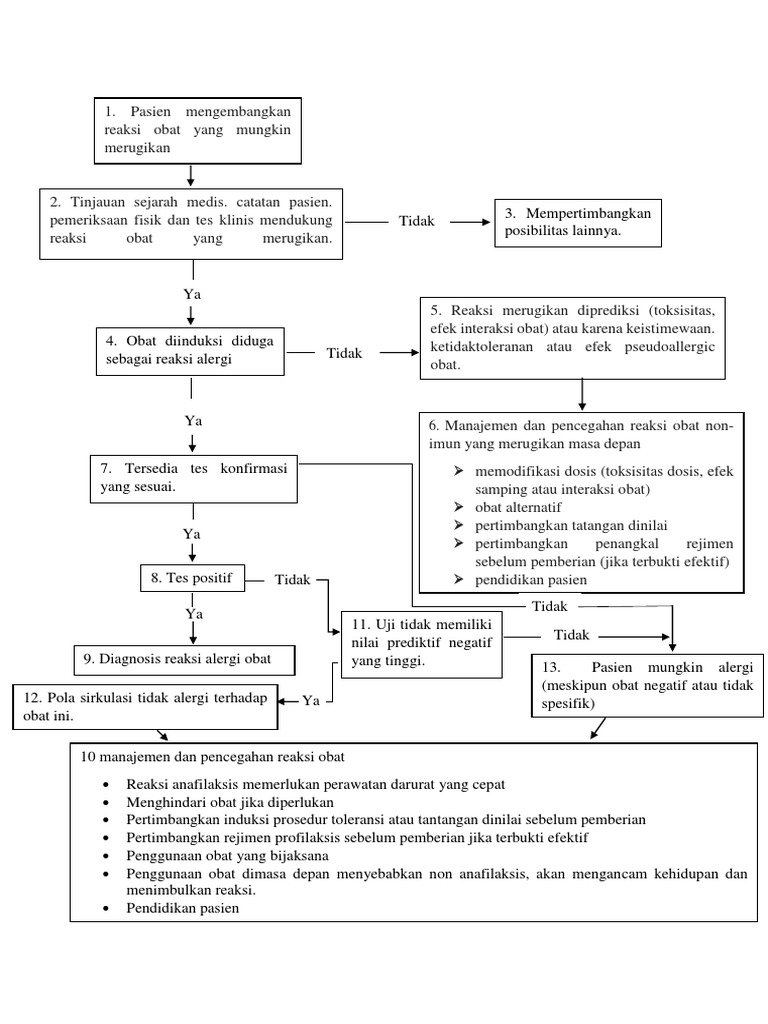
Ayu Wulandari 14041162046 Bagan Reaksi Alergi Obat
Obat Nyeri Tidak Mempan Obati Rasa Sakit Anda Kok Bisa
Farmakokinetik Pelakuan Tubuh Terhadap Obat Ada 4 Proses Ppt
1 Meter Toleransi Pasien Rumah Sakit Obat Dalam Ruangan Yang Tepat
Taman Ilmiah Toleransi Ala Gusdur Obat Bangsa Kita Yang Sakit
Oleh Ferryansyah Ilham Syah Melissa Mandatasari Ppt Download
Obat Tidur Bukan Solusi Insomnia
Medikasi Pemberian Obat Obatan 1
Farmakologi Diii Kebidanan Konsep Farmakologi Dan Dosis Obat
Ppt Peran Perawat Dalam Farmakologi Powerpoint Presentation Id
Obat Narkoba Selain Medis By Mohamadishak804 Issuu
Mengenal Fentanyl Obat Penghilang Nyeri Penyebab Kematian Prince
Ketenaran Obat Painkiller Di Kalangan Remaja Oleh Puspa Arum
Kbri Tunis Program Toleransi Nol Terhadap Obat Terlarang
Pengertian Definisi Dan Arti Istilah Kesehatan Takifilaksis
1 Meter Toleransi Pasien Rumah Sakit Obat Dalam Ruangan Yang Tepat
Penggunaan Obat Rasional Ditinjau Dari Indikator Peresepan Ppt
Obat Dislipedimia Dan Derivat Asam Fibrat
Obat Dumolid Menenangkan Sekaligus Membahayakan
Presiden Perintahkan Aparat Tidak Beri Toleransi Kepada Bandar
Kebijakan Obat Png Gambar Unduh Kebijakan Obat Gambar Transparan
1 Meter Toleransi Pasien Rumah Sakit Obat Dalam Ruangan Yang Tepat
Ppt Interaksi Obat Powerpoint Presentation Id 2375791
Dosis Obat Pdf Dosis Obat Dra Helni Mkes Apt Dosis Obat Jumlah
1 Meter Toleransi Pasien Rumah Sakit Obat Dalam Ruangan Yang Tepat














