Soal Ujian Rekayasa Perangkat Lunak
Google has many special features to help you find exactly what youre looking for. Debugging debugging adalah sebuah metode yang dilakukan oleh para pemrogram dan pengembang perangkat lunak untuk mencari dan meng.
Khusus untuk anda kepala sekolah pengelola sekolah dewan guru wajib mempunyai aplikasi rkas format excel sesuai dengan pengembangan 8 standar nasional pendidikan.
Soal ujian rekayasa perangkat lunak. Tersedia beasiswa d3 beasiswa s1 beasiswa s2 dan beasiswa s3 dari dalam dan luar negeri. Saya mengakui bahwa saya adalah manusia biasa yang mempunyai kekurangan dan kelebihan dalam berbagai hal. Stmik jakarta stik sekolah tinggi komputer pertama indonesia stik tifatul sembiring kominfo menkominfo.
Search the worlds information including webpages images videos and more. Konsultan analisis statistik skripsi thesis disertasi. Kumpulan soal dan pembahasan olimpiade sd smp semua mata pelajaran olimpiade matematika sd olimpiade ipa sd olimpiade matematika smp olimpiade ipa smp olimpiade.
Laporan ini telah diterima setelah diperiksa oleh pembimbing lapangan sebagai bukti bahwa saya telah melaksanakan praktek kerja industri prakerin dengan baik dan. Saya merasa masih banyak kekurangan dari makalah saya ini.
60 Soal Ujian Rekayasa Perangkat Lunak Perangkat Lunak Ujian
2072 P3 Spk Rekayasa Perangkat Lunak
Download Kisi Kisi Soal Teori Un Smk Jurusan Rekayasa Perangkat
Soal Ujian Tengah Semester Mata Kuliah Pengantar Rekayasa Perangkat
Mirania Carolina Soal Uts Rekayasa Perangkat Lunak Rpl
Contoh Soal Un Rpl 2013 Movies Polvconsultants
2072 P3 Spk Rekayasa Perangkat Lunak
Soal Unas Rpl 2010 2011 Paket A
Teori Kejuruan Rpl Tahun 2015 Multimedia Smk Mutu Pasuruan
Pembahasan Ujian Praktik Kejuruan Rpl Paket 1 Sistem Informasi
2072 Kst Rekayasa Perangkat Lunak
140 Soal Latihan Un Ujian Nasional Smk Jurusan Rpl Rekayasa
Uts Rekayasa Perangkat Lunak 1 Mari Belajar Blog Tutorial
Soal Ujian Praktik Kejuruan Tahun Pelajaran 2013 2014 Trik Komputer
Kelebihan Dan Kekurangan Model Proses Pada Rekayasa Perangkat Lunak
Kisi Kisi Un Teori Kejuruan Rpl 2019 Rekayasa Perangkat Lunak
Rekayasa Perangkat Lunak Rpl Prediksi Soal Un 2017 Smk Dan
Soal Ujian Nasional Rpl 2013 Uji Kompetensi Aws Solution
Soal Uji Kompetensi Keahlian Ukk Rpl 2018 Smk Al Ghifari Banyuresmi
Pembahasan Ukk Paket 4 Rekayasa Perangkat Lunak Rpl
Soal Ujian Praktek Rpl Paket B 2013 2014
Soal Tidak Lengkap Siswa Smk Di Kota Malang Harus Ikut Ujian
140 Soal Latihan Un Ujian Nasional Smk Jurusan Rpl Rekayasa
Download Soal Ujian Praktek Rpl 2019 Lengkap Terbaru Bangringo Com
17 Soal Ujian Nasional Smk Rekayasa Perangkat Lunak Ujian Soal Smk
Kisi Kisi Ujian Nasional Rekayasa Perangkat Lunak Kurikulum 2013
Soal Un Teori Kejuruan A Rekayasa Perangkat Lunak Hendri
Soal Uts Pemrograman Berbasis Dekstop Kelas Xi 2017 2018 Docx
Kumpulan Lengkap Soal Ujikom Rpl Kita Paham
Kelebihan Dan Kekurangan Model Proses Pada Rekayasa Perangkat Lunak
Kumpulan Soal Uts Kelas X Sabtu Kelas Rpl
Soal Ujian Nasional Teori Kejuruan Rekayasa Perangkat Lunak Rpl
Soal Un Teori Kejuruan Rpl Proprofs Quiz
Soal Ujian Nasional Rpl 2013 Uji Kompetensi Aws Solution
Form Laporan Nilai Rekap Ukk Rpl Pahlawanenter Com
Contoh Soal Ukg Rekayasa Perangkat Lunak Smk 2019 Online Terbaru
Mirania Carolina Soal Uts Rekayasa Perangkat Lunak Rpl
2072 P2 Spk Rekayasa Perangkat Lunak Paket Dokumen Negara 2 Ujian
Kisi Kisi Soal Ujian Teori Rekayasa Perangkat Lunak 2018
Download Soal Un Rpl 2013 Pembahasan Bangringo Com
2072 Stk Paket A Rekayasa Perangkat Lunak
Info Page 2 Software Engineering
2072 P2 Spk Rekayasa Perangkat Lunak Paket Dokumen Negara 2 Ujian
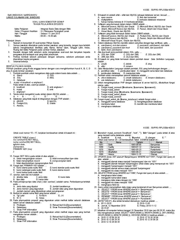
Soal Integrasi Basis Data Dg Web Xi Rpl
Rekayasa Perangkat Lunak Kelaskita
Rekayasa Perangkat Lunak Berorientasi Objek
140 Soal Latihan Un Ujian Nasional Smk Jurusan Rpl Rekayasa
Yo Gak Soal Ujian Nasional Teori Kejuruan Smk Rpl 2008 2009
Kelebihan Dan Kekurangan Model Proses Pada Rekayasa Perangkat Lunak
Kumpulan Soal Uts Kelas X Sabtu Kelas Rpl
Soal Dan Lembar Penilaian Uji Praktik Kejuruan Kenaikan Kelas Xi Rpl
2072 P2 Spk Rekayasa Perangkat Lunak
2016 Soal Teori Kejuruan Satuan Pendidikan Smkn 1 Lau Maros
Sertifikasiguru Id Plpg 2017 Rekayasa Perangkat Lunak
Soal Soal Latihan Rekayasa Perangkat Lunak Rplhlw117a03
Simun Simulasi Ujian Nasional Rekayasa Perangkat Lunak
Rekayasa Perangkat Lunak Istakhori Theo S Academia Edu
Contoh Soal Un Rpl 2013 Nba Diystaff
Pembahasan Ukk Paket 4 Rekayasa Perangkat Lunak Rpl
17 Soal Ujian Nasional Smk Rekayasa Perangkat Lunak Ujian Soal Smk
Soal Un Teori Kejuruan Rpl Proprofs Quiz
Pdf Pengukuran Kualitas Perangkat Lunak Sistem E Learning
Yo Gak Soal Ujian Nasional Teori Kejuruan Smk Rpl 2008 2009
2072 P2 Spk Rekayasa Perangkat Lunak Paket Dokumen Negara 2 Ujian
Pkm Dosen D3rpla Pengoreksian Hasil Ujian Berbasis Perangkat Mobile
Ujian Rekayasa Kebutuhan Perangkat Lunak Ayo Belajar Sama Sama
Uts Rekayasa Perangkat Lunak 1 Mari Belajar Blog Tutorial
2072 P1 Spk Rekayasa Perangkat Lunak
Rekayasa Perangkat Lunak Rpl Susantokun
Aspek Rekayasa Perangkat Lunak Dalam Media Pembelajaran
Uji Kompetensi Rekayasa Perangkat Lunak Dengan Dengan Lsp P1 Smk
Remidial Teknik Belajar Untuk Bertahan Di Dunia Pemrograman
Petisi Kemendikbud Un Tkj Wajib Diulang Change Org
Kelebihan Dan Kekurangan Model Proses Pada Rekayasa Perangkat Lunak
Matriks Dan Tranformasi Linier Pdf
Tespedas Tes Pemrograman Dasar Rekayasa Perangkat Lunak
5 Tips Menghadapi Ujikom Uji Kompetensi Smk Jurusan Rpl
Jual Rekayasa Perangkat Lunak Buku 2 Roger S Pressman Andi Di Lapak
Sertifikasiguru Id Plpg 2017 Rekayasa Perangkat Lunak
Rekayasa Perangkat Lunak Rahmadya Trias Handayanto
Uji Kompetensi Eksternal Ukk Rekayasa Perangkat Lunak Rpl Smks
Pdf Desain Model Sistem Ujian Online
Ppt Kom 331 3 2 3 Rekayasa Perangkat Lunak Powerpoint
Departemen Pendidikan Nasional Rekayasa Perangkat Lunak Smk
Elektronik Journal Cara Download Slide Dan Latihan Soal Stmik Nusa
2072 P1 Spk Rekayasa Perangkat Lunak Poliklinik Docx Document







