Soal Matematika Fungsi
Mengingat banyaknya permintaan untuk mengunggah pembahasan soal un matematika smp 2018 menggunakan metode trik superkilat dan logika praktis maka kali ini. Blog ini berisi tentang soal matematika dan pembahasannya.
8 4 1 Soal Dan Pembahasan Nilai Fungsi Matematika Sltp Kelas 8
Pada pemetaan bayangandiketahui fungsi fx ax b sedangkan f3 4 dan f5 28 maka nilai a dan b berturut turut adalah nilai a dan b b.
Soal matematika fungsi. Maka jumlah uangnya. Jika seseorang menabung uang di suatu bank sebesar rp. Untuk membeli buku bank soal matematika sma karangan heri istiyanto yang diterbitkan gagas media saat ini cukuplah mudah.
Selain secara offline di toko buku di. Matematika sebuah mata pelajaran yang tak pernah lepas dari rumus rumus matematika makanya kali ini saya buat artikel khusus download kumpulan rumus matematika. Dengan memperhatikan atau membaca logaritma biasa nilai log 234 berada pada baris yang dikepalai oleh 23 dan di bawah kolom yang dikepalai oleh 4.
Update soal akan dilakukan sesering mungkin. Matematika belajar matematika secara mandiri. Pada kesempatan kali ini blog berbagi dan belajar akan membagikan pembahasan soal osn olimpiade sains nasional matematika sma 2018 tingkat kabupatenkota.
200000 untuk jangka waktu tertentu dengan bunga majemuk 40 per tahun. Dalam mempelajari materi eksponen dan logaritma pada buku matematika kurikulum 2013 sma kelas x tentu kita perlu berlatih menjawab soal soal yang ada pada.
Soal Dan Pembahasan Matematika Fungsi Komposisi Dan Fungsi Invers 6
4 Soal Matematika Soal Turunan Fungsi Dengan Pembahasan
13 Soal Soal Fungsi Komposisi Dan Fungsi Invers
Rangkuman Contoh Soal Pembahasan Fungsi Komposisi
2 Contoh Soal Latihan Matematika Relasi Dan Fungsi
8 4 1 Soal Dan Pembahasan Nilai Fungsi Matematika Sltp Kelas 8
Contoh Soal Fungsi Lengkap Dengan Jawabannya Yang Mudah Dipahami
Soal Fungsi Turunan Matematika Dan Jawaban Soal Utbk Sbmptn 2019
Bank Soal Matematika Kelas X Sma Fungsi Ibu Guru Susi Sr
Soal Latihan Relasi Dan Fungsi Smp Kelas 8 Made Nuryadi
Soal Dan Pembahasan Matematika Fungsi Komposisi Dan Fungsi Invers 1
8 3 1 Soal Dan Pembahasan Relasi Fungsi Matematika Sltp Kelas 8
Materi Matematika Fungsi Komposisi Dan Fungsi Invers Kelas 10 Sma
13 Soal Soal Fungsi Komposisi Dan Fungsi Invers
13 Soal Soal Fungsi Komposisi Dan Fungsi Invers
Contoh Soal Fungsi Linear Blog Pelajar Indonesia
Contoh Soal Fungsi Linear Matematika Dan Jawabannya
Matematika Kelas 8 100institute
Pembahasan Unbk Sma Matematika Ipa 2018 No 3 Komposisi Fungsi Soal
Contoh Soal Un Matematika Sma Integral Fungsi Aljabar
Fungsi Dalam Matematika Novela Ayu
Pelajaran Soal Rumus Fungsi Komposisi Wardaya College
Contoh Soal Relasi Dan Fungsi Matematika Smp 1
Kumpulan Artikel Bermanfaat Dan Ilmu Pengetahuan Contoh Soal Fungsi
8 3 1 Soal Dan Pembahasan Relasi Fungsi Matematika Sltp Kelas 8
Rangkuman Contoh Soal Pembahasan Fungsi Kuadrat
Matematika Pilar Pintar Bernalar Fungsi Komposisi Fkfi
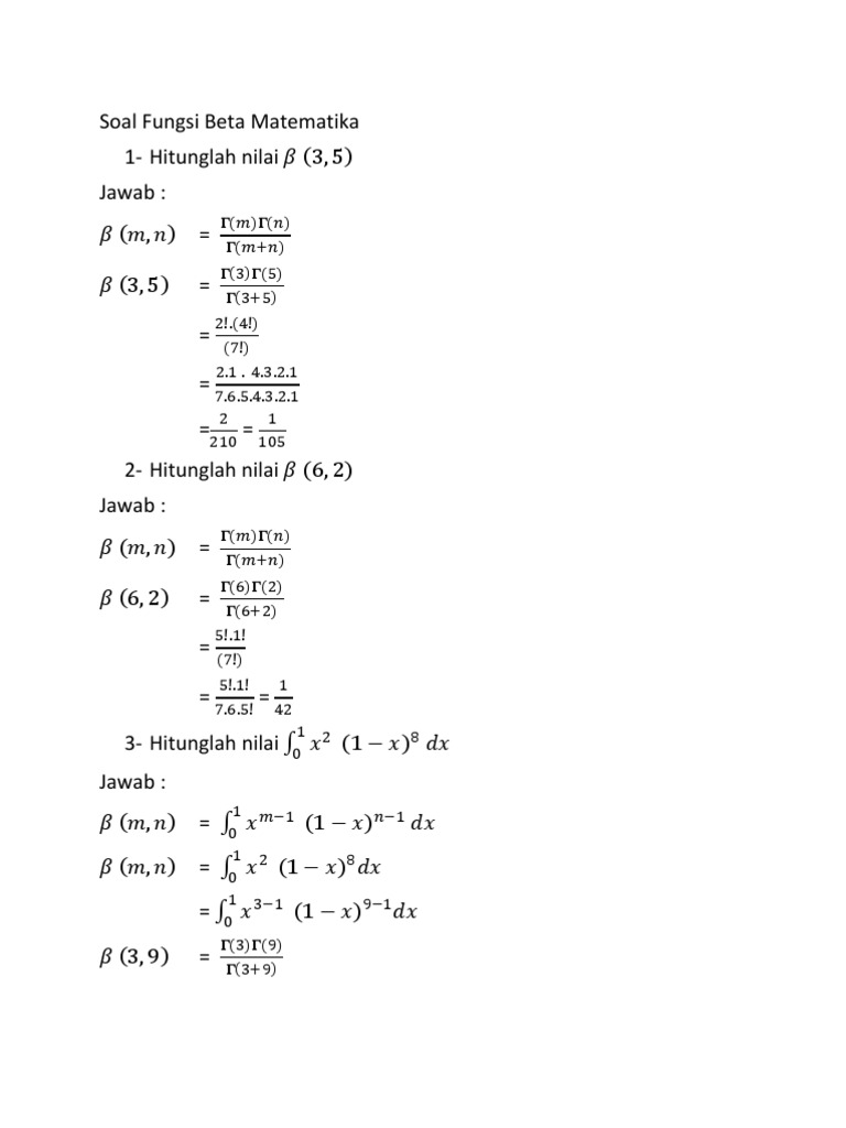
Soal Fungsi Beta Tambahan Soal Gamma Matematika Docx
Matematika Kelas 11 Bab 6 Contoh Soal Fungsi Komposisi Youtube
Tolong Di Bantu Soal Matematika Tentang Fungsi Komposisi Dan Fungsi
Contoh Soal Relasi Dan Fungsi Matematika Smp 1
Relasi Dan Fungsi Matematika Kelas 10 Contoh Soal Materi Belajar
Pelajaran Soal Rumus Aplikasi Fungsi Kuadrat Wardaya College
Matematika Dasar Fungsi Komposisi Dan Fungsi Invers Fkfi Soal
Jelaskan Pengertian Fungsi Modulus Dalam Bab Fungsi Soal Matematika
13 Soal Soal Fungsi Komposisi Dan Fungsi Invers
Cara Cepat Menentukan Grafik Fungsi Kuadrat Pembahasan Soal Un
Fungsi Kuadrat Dan Contoh Soal
Lengkap Contoh Pidato Inilah Contoh Soal Dan Pembahasan Fungsi
2 Contoh Soal Latihan Matematika Relasi Dan Fungsi Kelas 8 Smp Docx
8 3 1 Soal Dan Pembahasan Relasi Fungsi Matematika Sltp Kelas 8
Pelajaran Soal Rumus Fungsi Naik Fungsi Turun Wardaya College
Soal Dan Pembahasan Limit Fungsi Aljabar Dan Trigonometri 1 5
Fungsi Matematika Linear Konstan Identitas Soal Dan Jawaban
Matematika Dasar Limit Fungsi Trigonometri Soal Dan Pembahasan
Rumus Limit Matematika Fungsi Tak Hingga Contoh Soal
Taklukkan Soal Matematika Fungsi Invers Dengan Cara Cepat Di Ujian
Relasi Dan Fungsi Pengertian Perbedaan Dan Contoh Soal
Tutorial Menjawab Soal Matematika Kelas 8 Smp Materi Memahami Bentuk
Yuk Latihan Contoh Soal Fungsi Kuadrat Biar Kamu Makin Jago
Contoh Soal Relasi Dan Fungsi Blog Pelajar Indonesia
Soal Essay Fungsi Turunan Dan Pembahasannya Matematika Artikeltop
Materi Fungsi Komposisi Serta Cara Cepat Menyelesaikan Soal Soalnya
Taklukkan Soal Matematika Fungsi Invers Dengan Cara Cepat Di Ujian
Pembahasan Soal Prediksi Un Matematika Smp 2017 Skl Menghitung
Soal Dan Pembahasan Menentukan Invers Suatu Fungsi Materi Matematika
Turunan Fungsi Dan Aplikasinya Soal Kurikulum 2013 Antiremed
Panduan Belajar Soal Hots Matematika Zenius Blog
Contoh Soal Dan Pembahasan Kemonotonan Fungsi Matematika
Cara Cepat Mengerjakan Soal Limit Fungsi Aljabar Tak Tentu Oleh Elis
Herunterladen Contoh Soal Matematika Diskrit Relasi Dan Fungsi Casita
Soal Un Dan Jawaban Matematika Fungsi Kuadrat Magister Matematika
Matematika Pm 12 Mia Kisi Kisi
Kuis Iii Logika Matematika Fungsi Ppt Download
Naflavpark Soal Dan Pembahasan Turunan Fungsi Trigonometri Pdf
Kumpulan Soal Limit Fungsi Trigonometri
Jawaban Soal Matematika Kelas 8 Halaman 114 Yang Dilingkari Tolong
Viewinggei Blog Archive Contoh Soal Uan Persamaan Fungsi Kuadrat
Limit Matematika Dan Contoh Soal
Kumpulan Soal Praktek Microsoft Excel 2010 Belajar Komputer Untuk
Soal Fungsi Matematika Dunia Cak Tuh
2 Contoh Soal Latihan Matematika Relasi Dan Fungsi Kelas 8 Smp
45 Pilihan Soal Fungsi Kelas 8 Kumpuan Contoh Soal
Pembahasan Soal Ujian Nasional Matematika Smp Fungsi
8 4 1 Soal Dan Pembahasan Nilai Fungsi Matematika Sltp Kelas 8
Matematika Bisnis Contoh Soal Subsidi Fungsi Permintaan Dan
Taklukkan Soal Matematika Fungsi Invers Dengan Cara Cepat Di Ujian
Matematika Dasar Fungsi Kuadrat Soal Dan Pembahasan Defantri Com
Soal Matematika Fungsi Beta Nomer 1 Part 1 Youtube
Panduan Belajar Soal Hots Matematika Zenius Blog
Faktorial Matematika Beserta Contoh Soal Dan Jawaban Pinter Pandai
Jual Logika Matematika Soal Dan Penyelesaian Logika Himpunan Relasi
Pengertian Jenis Jenis Dan Contoh Soal Fungsi Matematika Kumpulan
Contoh Soal Latihan Matematika Relasi Dan Fungsi Kelas 8 Smp Docx
Soal Smp Kelas 8 Matematika Ujian Tengah Semester Ganjil
Simak Cara Seru Soal Dan Pembahasan Persamaan Kuadrat Quipper Blog
Fungsi Matematika Dan Statistika Ayo Rajin Belajar
Limit Fungsi Trigonometri Contoh Soal Dan Cara Menghitung
Pelajaran Soal Rumus Fungsi Invers Wardaya College
Kumpulan Soal Matematika Smp Kelas 8 Semester Ganjil Didno76 Com
Soal Dan Pembahasan Un 2018 Fungsi Komposisi Dan Invers Kupas
Cara Pilar Pintar Bernalar Mengerjakan Soal Matematika Fungsi
Soal Dan Pembahasan Komposisi Dan Invers Fungsi Mathcyber1997
Pembahasan Soal Matematika Un Sma Smk Fungsi Kuadrat 1
Fungsi Komposisi Bank Soal Matematika Sma 66
Contoh Soal Fungsi Linear Bidata Artis Terbaru
2 Contoh Soal Relasi Fungsi Matematika Sma Kelas 11 Kurikulum 2013
