Pendidikan Kewarganegaraan Kuliah Semester 2
Untuk twining program biaya per sks menyesuaikan tempuhan mata kuliah di prodi misal mata kuliah psikologi beban sks sesuai sks psikologi untuk program double. Tegal politeknik harapan bersama phb telah resmi membuka 3 program studi prodi baru yaitu.
Rpp berkarakter sd mi contoh rpp silabus terbaru berkarakter kebangsaan dan kewirausahaan sd kelas 1 2 3 4 5 dan 6 untuk semua mata pelajaran.
Pendidikan kewarganegaraan kuliah semester 2. Silabus rpp sd terbaru dan berkarakter mata pelajaran. D4 akuntansi sektor publik d3 desain komunikasi visual dan d3. Mata kuliah program studi sistem informasi fakultas teknologi informasi universitas mercu buana yogyakarta.
Riwayat singkat pada tahun 1963 fkip dan institut pendidikan guru yang berada di bawah departemen pendidikan digabungkan menjadi institut keguruan dan ilmu. Mata kuliah perkembangan kepribadian mpk 1. Soal soal e learning ubsi tahun 2018 update dengan mata kuliah pendidikan kewarganegaraan pkn bahasa indonesia bi dan pengantar teknologi informasi dan.
Pendidikan agama islam matematika kewarganegaraan ipa ips bahasa indonesia bahasa inggris. Kehidupan manusia harus berada dalam keserasian keselarasan keseimbangan antara pribadi dan masyarakat. Revolusi industri keempat 40 ditandai oleh kemajuan teknologi dan didukung oleh kecerdasan buatan yang menciptakan peluang dan tantangan untuk sistem pendidikan.
Cikaracak Dikdik Baehaqi Arif Laman 2
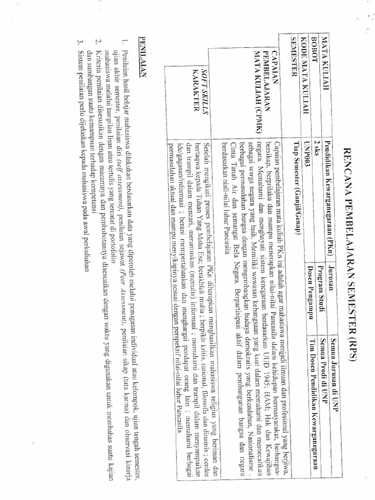
A3 Silabus Pendidikan Kewarganegaraan 2 Nika Saputra Academia Edu
Silabus Pendidikan Kewarganegaraan
Pendidikan Kewarganegaraan Kelompok Materi Identitas Nasional
Rpp Pkn Kelas Iv Semester 2 Kd 3 2
Kontrak Perkuliahan Mata Kuliah Pendidikan Kewarganegaraan Sks 2
Jual Buku Pendidikan Kewarganegaraan Di Perguruan Tinggi Oleh Prof
Mki Rps Pendidikan Kewarganegaraan Rtf
Teori Dan Landasan Pkn Prof Dr Abdul Azis Wahab Terbaru Andreas
Fakultas Ilmu Komunikasi Universitas Budi Luhur Universitas Budi
Materi Kuliah Pendidikan Kewarganegaraan Pengertian Tujuan
Bank Soal Mku Universitas Negeri Semarang Himpunan Mahasiswa
Rencana Pembelajaran Semester Rps Ade Iim Academia Edu
Kontrak Perkuliahan Nama Mata Kuliah Pendidikan Kewarganegaraan
Download Pendidikan Kewarganegaraan Pdf Ppkn Untuk Semua
Jual Buku Pendidikan Kewarganegaraan Di Perguruan Tinggi Oleh Prof
Materi Pkn Dan Ips Kls 4 Semst 2
Telecharger Mata Kuliah Pendidikan Kewarganegaraan Semester 2
Bank Soal Mku Universitas Negeri Semarang Himpunan Mahasiswa
Bank Soal Mku Universitas Negeri Semarang Himpunan Mahasiswa
Mki Rps Pendidikan Kewarganegaraan Doc
Kontrak Perkuliahan Nama Mata Kuliah Pendidikan Kewarganegaraan
Model Pembelajaran Pendidikan Kewarganegaraan
Pendidikan Kewarganegaraan Ppt Download
Kontrak Perkuliahan Nama Mata Kuliah Pendidikan Kewarganegaraan
Kumpulan Soal Uas Semester Genap 2016 Himpunan Mahasiswa Jurusan
Critical Book Report Pendidikan Kewarganegaraan Hugo Sanses
Makalah Pkn Tentang Ketahanan Nasional Di Indonesia
Kurikulum Terbaru Habib Ahmad Academia Edu
1 Pentingnya Pendidikan Kewarganegaraan Di Perguruan Tinggi Bagi
Rpp Silabus Mapel Pkn Sma Smk Ma X Xi Xii Semester 1 2 Silabus
Soal Ujian Akhir Semester Kewarganegaraan Docx
Rencana Pelaksanaan Pembelajaran Pdf
Judul Buku Pendidikan Kewarganegaraan Untuk Perguruan Tinggi
Materi Pembelajaran Semester 2 Setetes Air
Kontrak Perkuliahan Nama Mata Kuliah Pendidikan Kewarganegaraan
Pembelajaran Pkn Di Sd Authorstream
Soal Soal Pkn Perguruan Tinggi Maulana Yudrick Academia Edu
Soal Uas Pas Pendidikan Kewarganegaraan Pkn Kelas 6 Semester 1
Jual Buku Pendidikan Kewarganegaraan Di Perguruan Tinggi Oleh Prof
Kurikulum Kkni Mata Kuliah Prasyarat
Soal Ujian Kewarganegaraan Farhan
Makalah Pendidikan Kewarganegaraan Bertentangannya Situasi
Rangkuman Kwn Pdf Rangkuman Materi Uts Semester 2 Mata Kuliah
Kontrak Perkuliahan Nama Mata Kuliah Pendidikan Kewarganegaraan
Artikel Pendidikan Kewarganegaraan
Sebaran Mata Kuliah Semester 1 Satu Dan 2 Dua Fakultas Keguruan
Kurikulum Mata Kuliah Program Studi Teknik Kimia Pdf
Ujik S Lifeline Story In The Second Semester In English Department
Lampiran Sk Perubahan Kurikulum Final Xlsx
Bab Iii Deskripsi Mata Kuliah Mata Kuliah
Mkdu4111 Pendidikan Kewarganegaraan Perpustakaan Digital
Soal Pkn Untuk Ujian Tengah Semester Gasal
Ahmad Farid Wajdi Si Pendidikan Kewarganegaraan
Jadwal Kuliah Ujian Sem Genap 2016 2017 Pknh Jurusan Pendidikan
Kumpulan Soal Uas Semester Genap 2016 Himpunan Mahasiswa Jurusan
Prodi Pendidikan Bahasa Inggris Unja Kontrak Mata Kuliah Semester
Materi Mata Kuliah Pendidikan Kewarganegaraan Semester 2 Pdf Free
Download Pendidikan Kewarganegaraan Pdf Ppkn Untuk Semua
Penawaran Mata Kuliah Semester Genap Tahun Akademik 2010 2011
5 Silabus Kbk Pendidikan Kewarganegaraan Uno 106
Silabus Pendidikan Kewarganegaraan Pkn
Kuis Pancasila Nidya Febrina 1102010206
Mata Kuliah Pendidikan Kewarganegaraan Upt Pusat Pengkajian Pancasila
Kenapa Kita Harus Mempelajari Pendidikan Kewarganegaraan Pkn Lagi
Mata Kuliah Teknik Pertambangan
Kunci Jawaban Ppkn Halaman 70 Kelas 12 Semester 2 Malaikat Perindu
Materi Pendidikan Pancasila Kuliah Kewarganegaraan
Iwan Math Edu A Makalah Pkn Semester 1
Rencana Pelaksanaan Pembelajaran Pdf
Download Pendidikan Kewarganegaraan Pdf Ppkn Untuk Semua
Ui Ivbrsitas Ne Geri Yogyakarta Fakultas Ilmu Sosial Dan Ekonomi
Ujian Akhir Semester Ganjil Mata Kuliah Pendidikan Agama Dan
Distribusi Mata Kuliah Progdi Teknik Informatika
Daftar Tawaran Mata Kuliah Semester Genap 201712018
Kontrak Perkuliahan Nama Mata Kuliah Pendidikan Kewarganegaraan
Soal Quiz Pendidikan Kewarganegaraan Devi Adi Nufriana Academia Edu
Kontrak Perkuliahan Mata Kuliah Pendidikan Kewarganegaraan Sks 2












