Pelajaran Matematika Sma
Download soal matematika prediksi ujian nasional soal matematika uasbn sd prediksi uasbn sd prediksi un sd prediksi un smp prediksi un sma download. Osn xvii tahun 2018 diadakan di padang sumatera barat.
Kisi Kisi Un 2016 Mata Pelajaran Matematika Sma Program Ipa Ruang
Selasa 17 april 2018.
Pelajaran matematika sma. Mengingat banyaknya permintaan untuk mengunggah pembahasan soal un matematika smp 2018 menggunakan metode trik superkilat dan logika praktis maka kali ini. Silabus prota dan promes matematika kelas 5 kurikulum 2013 revisi 2017 bapakibu dan teman teman guru yang berbahagia pada kesempatan kali ini kami melanjutkan. Ajang kompetisi matematika bagi siswa sd smp dan sma.
Rabu 18 april 2018. Pada kesempatan kali ini blog berbagi dan belajar akan membagikan pembahasan soal osn olimpiade sains nasional matematika sma 2018 tingkat kabupatenkota. Oke kali ini saya akan menshare tentang pelajaran pkn yg saya pelajari di sekolah oke langsung saja kita mulain tapi sebelumnya saya iinga.
Tadinya nilai matematika ku 40 50 bahkan pernah 0 setelah les privat di ruangguru nilaiku jadi 70 80 bahkan sekarang. No hari tanggal sesi jam mata pelajaran. Lomba olimpiade matematika dan.
Belajar dengan guru di ruangguru sangat asik. Daftar judul ini bermanfaat bagi anda mahasiswa pendidikan maupun guru ptk yang sedang menyusun skripsi tesis laporan penelitian tindakan kelas terutama yang.
Soal Matematika Sma Kelas X Semester I
Bse Buku Pelajaran Sma Kelas 12 Matematika Aplikasi Program Ipa Jil
Soal Ujian Semester Ganjil Kelas Xii Ipa Pelajaran Matematika
Soal Ujian Semester Ganjil Pelajaran Matematika Kelas X Wellcome
Kisi Kisi Un 2016 Mata Pelajaran Matematika Sma Program Ips Ruang
Soal Ujian Akhir Semester Matematika Kelas Sma Kelas X Soalujian Net
Try Out Uas Matematika Sma Kelas Xii Ips 2013
Ayo Belajar Pelajaran Matematika Sma Semester 1
Artikel Tabel Materi Pelajaran Matematika Sma Per Kelas Dan Per
Ayo Belajar Pelajaran Matematika Sma Kelas X Bab 1
Rumus Matematika Yang Unik Menghitung Umur Opel98info S Blog
Skm Sukses Kuasai Materi Matematika Sma Kelas X Xi Xii Book By
Soal Ujian Kelas Xi Ipa Pelajaran Matematika Wellcome To My Blog
Silabus Mata Pelajaran Matematika Sma Smk Ma Kurik 2013 Kelas X Xii
Koefesien Variasi Mata Pelajaran Matematika Sma Smk Youtube
Materi Vektor Mata Pelajaran Matematika Peminatan Kelas X Sma
Bse Buku Pelajaran Sma Kelas 12 Matematika Aplikasi Program Ipa Jil
Pdf Analisis Pemetaan Dan Pengembangan Model Pembelajaran
Pembahasan Bocoran Soal Un Matematika Sma Ipa 2015 By Pak Anang
Soal Dan Jawaban Latihan Un Sma 2018 2019 Mata Pelajaran Matematika
Rpp Kurikulum 2013 Mata Pelajaran Matematika Sma Defantri Com
Materi Pelajaran Matematika Sma Semester 1 2 Kelas 12
Rangkuman Materi Pelajaran Matematika Kelas 12 Sma Lengkap
Integral Dengan Substitusi Aljabar Kelas Xii
Materi Pelajaran Matematika Sma Kelas 11 Semester 1 2
Silabus Matematika Sma Kelas Xii Wajib Allson
Buku Pelajaran Matematika Sma Kelas Xii 12 Ips Yudhistira Books
Pelajaran Soal Rumus Matematika Wardaya College
Jual Buku Pelajaran Matematika Sma Murah Dan Terlengkap Bukalapak
Jual Buku Pelajaran Matematika Kelas X Sma Kelas 1
Rpp Matematika Sma Xii Bab 1 Matriks
Game Visual Novel Untuk Pembelajaran Mata Pelajar Mindmeister
Silabus Mata Pelajaran Matematika Sma Kurikulum 2013 Revisi 2016
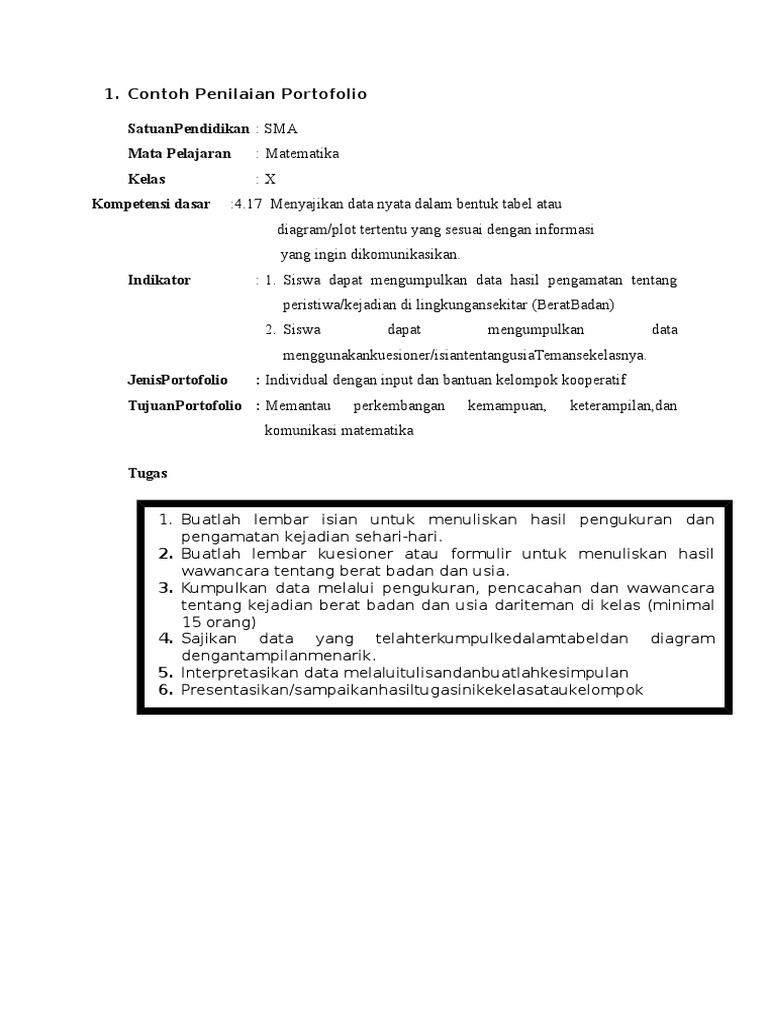
Contoh Penilaian Portofolio Matematika Sma
Prediksi Contoh Soal Unbk Matematika Sma Smk 2018 Dan Kunci Jawaban
Bocoran Soal Matematika Un Sma Terbaru 2018 Unbk For Android Apk
Prediksi Soal Un Matematika Sma 2018 Dan Pembahasannya Pdf Ifomenia
Jual Buku Pelajaran Matematika Sma Ma Kelas X 1b Baca Lagi Tokopedia
Bahas Total Kumpulan Soal Superlengkap Matematika Sma Kelas X Xi
Pembelajaran Matematika Realistik Uhamka Pendidikan Matematika
Jual Buku Pelajaran Matematika Sma Kelas 2 Yarama Widya Di Lapak
Soal Un Matematika Sma Naskah Asli 2017 Persiapan Tahun 2018
Download Contoh Soal Pilihan Ganda Uas Semester 2 Sma Kelas X Mata
Cd Pelajaran Matematika Jurusan Ips Kelas 11 Sma
Buku Pelajaran Matematika Sma 1 Books Stationery Books On Carousell
Lowongan Guru Privat Pelajaran Matematika Fisiika Sma Di Cibubur
Jual Buku Pelajaran Matematika Sma Kelas 1 Books Store Wijaya
Materi Matematika Kelas 10 Sma Kurikulum 2013 Semester 1 2
109 Siswa Sma Di Jateng Raih Nilai 100 Mata Pelajaran Matematika Un
Download Soal Un Sma Tahun 2017 Semua Mata Pelajaran Naskah Asli
Mengapa Kita Perlu Belajar Integral Dkk Di Pelajaran Matematika Sma
Bimbingan Belajar Dan Privat Saintis Pembahasan Ujian Nasional Sma
Mata Pelajaran Matematika Kelas Program Xi Ips Ppt Download
Download 21 Paket Soal Un Matematika Sma Ipa Tahun 2013 Blog Urip
Jual Buku Matematika Sma Ma Smk Mak Kelas Xii K13 Edisi Revisi 2018
Ringkasan Bahan Ujian Mata Pelajaran Matematika Sma Negeri 1
Ini Pelajaran Matematika Sma Nomor 8 Sampai 10 Bagaimana Ya Caranya
Soal Dan Pembahasan Un Matematika Sma Ma Ipa Mipa Paket 1
Jual Buku Pelajaran Matematika Sma Kelas 2 Suwah Sembiring Di Lapak
Latihan Mtk Un Sma Ipa Bahas Pdf Pembahasan Latihan Soal Un Sma Ma
Rumus Matematika Sma Sederajat By Media Sekolah Apps Education
Pdf Meningkatkan Pemecahan Masalah Matematik Mahasiswa Pada
Persamaan Kuadrat Dan Penyelesaiannya Portal Ilmu Com
Pelajaran Matematika Sma Integral Subtitusi Youtube
Soal Dan Kunci Jawaban Uts Matematika Sma Ma Smk Mak Kelas 10
Les Privat Matematika Sma Untuk Hasil Belajar Yang Lebih Baik
Materi Matematika Sma Kurikulum 2013 Cekidot Bro Sinauyuuks
Cd Belajar Mandiri Matematika Sma Kelas 10 Kurikulum 2013
Jual Buku Pelajaran Matematika Sma Kelas Xii Ipa Books Store
Kementerian Pendidikan Dan Kebudayaan Republik Indonesia
Download Soal Dan Pembahasan Un Unbk Dan Unkp Sma 2018 Mata
Soal Un Sma Matematika Ips 2015 Paket 3 Untuk Latihan Ujian Cari Soal
Ktsp Rpp Matematika Sma Putra Perdana Academia Edu
Daftar Harga Buku Pelajaran Matematika Sma Terbaru 2019 Cek Murahnya
Silabus Sma Kurikulum 2013 Revisi 2016 Matematika Silabus
Jual Buku Pelajaran Matematika Sma Kelas Murah Dan Terlengkap
Kisi Kisi Usbn 2019 Ktsp Kurikulum 2006 Untuk Paket A B C Smp
Tantry Batu Ampar S 1 Matematika Menawarkan Pelajaran Matematika
Super Pintar Pelajaran Matematika Ekonomi Geografi Sosiologi
Herunterladen Programm Semester Matematika Sma Kelas Xii Ips
Materi Belajar Matematika Sma Blog Primaindisoft
Portal Pendidikan Dan Ekonomi Indonesia Acadcampus Com Berita
40 Soal Jawaban Unbk Usbn Matematika Sma Terbaru
Soal Try Out Soal Un Matematika Sma Ipa Dan Ips Tahun 2019 Blog
Silabus Mata Pelajaran Matematika Peminatan Satuan Pendidikan
Bahan Ajar Teks Satuan Pendidikan Sma Mata Pelajaran Kelas
Program Tahunan Matematika Sma Kelas Xi Kurikulum 2013 Wajib
Jual Buku Kuasai Materi Matematika Sma Kelas X Xi Xii Seri
Tugas Analisis Pelajaran Matematika Di Sma X Ppt Download
Sma Finlandia Akan Menghapus Pelajaran Matematika Dan Fisika
Soal Matematika Un Unbk Sma Ma Ipa Ips 2019 Ranikidia Com
Soal Osn Matematika Sma Tingkat Kabupaten Kota Tahun 2015
Fafa Malang Jawa Timur Mahasiswa Pendidikan Matematika
Panduan Belajar Un Matematika Ips Sma 2019 Zenius Blog
Sepercik Hikmah Pelajaran Matematika Iiiih Takut
Jual Pintar Matematika Sma Kelas X Untuk Olimpiade Dan Pengayaan

