Buku Kuliah Teknik Lingkungan
Buku Jurusan Teknik Lingkungan
Jual Buku Kuliah Jurusan Apa Jurusan Teknik Lingkungan Oleh
6 Poin Penting Dalam Buku Kuliah Jurusan Apa Jurusan Teknik
Mau Kuliah Jurusan Teknik Lingkungan Baca Buku Ini Dulu
Cerita Di Balik Buku Kuliah Jurusan Apa Jurusan Teknik Lingkungan
Jual Buku Kuliah Jurusan Apa Jurusan Teknik Lingkungan Oleh
Bedah Buku Kuliah Jurusan Apa Jurusan Teknik Lingkungan Di Tl Its
Kuliah Jurusan Teknik Lingkungan Harus Pintar Pelajaran Apa
Buku Solo Kedua Kuliah Jurusan Apa Jurusan Teknik Lingkungan
Jual Beli Buku Jurusan Teknik Lingkungan Online Terlengkap
Jual Buku Kuliah Jurusan Apa Jurusan Teknik Lingkungan Oleh
Jual Kuliah Jurusan Apa Jurusan Teknik Lingkungan Di Lapak Eccika
Pengenalan Jurusan Teknik Lingkungan Tanpa Terkesan Seperti Text Book
Jual Beli Buku Jurusan Teknik Lingkungan Online Terlengkap
6 Poin Penting Dalam Buku Kuliah Jurusan Apa Jurusan Teknik
Jual Buku Kuliah Jurusan Apa Jurusan Teknik Lingkungan Oleh
Apa Saja Yang Dipelajari Di Jurusan Teknik Lingkungan Duniailkom
Instagram Giveaway Buku Kuliah Jurusan Apa Jurusan Teknik Lingkungan
Kuliah Jurusan Apa Jurusan Teknik Lingkungan Indonesian Edition
Nathalia S Bookshelf Review Kuliah Jurusan Apa Jurusan Teknik
Akademik Departemen Teknik Lingkungan Universitas Diponegoro
Pemenang Giveaway Resensi Buku Kuliah Jurusan Apa Jurusan Teknik
Jual Buku Kuliah Jurusan Apa Jurusan Teknik Lingkungan Oleh
Ini Dia Yang Harus Kamu Ketahui Tentang Teknik Lingkungan Oleh
Akademik Departemen Teknik Lingkungan Universitas Diponegoro
Teknik Lingkungan Di Beberapa Perguruan Tinggi Bk Blog Kompetensi
Apa Saja Yang Dipelajari Di Jurusan Teknik Lingkungan Duniailkom
Program Studi Magister Teknik Lingkungan Fakultas Teknik Sipil Dan
Akademik Departemen Teknik Lingkungan Universitas Diponegoro
Program Studi Magister Teknik Lingkungan Fakultas Teknik Sipil Dan
Apa Saja Yang Dipelajari Di Jurusan Teknik Lingkungan Duniailkom
Kuliah Jurusan Apa Jurusan Teknik Lingkungan Toko Buku Online
Jual Kuliah Jurusan Apa Jurusan Teknik Lingkungan Cek Harga Di
Apa Saja Yang Dipelajari Di Jurusan Teknik Sipil Duniailkom
Jurusan Teknik Lingkungan Tiket Menuju Kesuksesan
Perpustakaan Teknik Lingkungan Institut Teknologi Bandung
Jual Buku Kuliah Jurusan Apa Jurusan Teknik Lingkungan Oleh
Teknik Lingkungan Di Beberapa Perguruan Tinggi Bk Blog Kompetensi
Fakultas Teknik Sipil Dan Perencanaan
Akademik Departemen Teknik Lingkungan Universitas Diponegoro
Area Unduh Environmental Engineering Uii
Jual Buku Pengantar Pengendalian Pencemaran Di Lapak Fahmi Bookstore
Buku Ajar Kuliah Pengelolaan Buangan Industri Jurusan Teknik
Fakultas Teknik Universitas Syiah Kuala
Jual Buku Perencanaan Dasar Struktur Beton Bertulang Dki Jakarta
Teknik Lingkungan Di Beberapa Perguruan Tinggi Bk Blog Kompetensi
Bedah Buku Kuliah Jurusan Apa Jurusan Teknik Lingkungan Di Tl Its
Area Unduh Environmental Engineering Uii
Jurusan Teknik Lingkungan Youthmanual
Konsep Daftar Isi Buku Panduan Fakultas Teknik
Mengenal Jurusan Kuliah Untuk Program Ipa Dan Ips Fakultas Teknik
Jual Buku Kuliah Jurusan Apa Jurusan Farmasi Harga Murah Di Lapak
Kuliah Teknik Di Luar Negeri Universitas Terbaik 2019
Tugas Ekotoksikologi Rumah Sakit Teknik Lingkungan
Kenali Karakteristik Jurusan Kuliah Berikut Agar Tidak Salah Pilih
Buku Ajar Kuliah Pengelolaan Buangan Industri Jurusan Teknik
Jual Buku Kuliah Jurusan Apa Jurusan Teknik Lingkungan Oleh
Apa Saja Yang Dipelajari Di Jurusan Teknik Industri Duniailkom
Program Studi Sarjana Teknik Sipil Fakultas Teknik Sipil Dan
Akademik Departemen Teknik Lingkungan Universitas Diponegoro
Sekilas Jurusan Teknik Lingkungan Bk Blog Kompetensi
Besaran Uang Kuliah Fakultas Teknik Di Ui Unpad Undip Dan Ugm
Kuliah Jurusan Teknik Lingkungan Siapa Takut
Area Unduh Environmental Engineering Uii
Fakultas Teknik Universitas Lampung
Kuliah Online Institut Teknologi Sepuluh Nopember
Enviro Edisi 10 By Himpunan Mahasiswa Teknik Lingkungan Itb Issuu
Daftar Mata Kuliah Program S1 Fakultas Teknik Geologi
Fillable Online Ft Unram Ac Akademik Sanksi Pelanggaran Akademik
D3 Teknik Mesin Fakultas Teknik
Mengenal Lebih Dekat Teknik Lingkungan Universitas Indonesia Kaskus
Whatsapp Image 2018 07 06 At 11 20 05 Teknik Lingkungan
Mata Kuliah Ekologi Pengetahuan Lingkungan Ppt Download
Buku Cloud Computing The Power Of Owncloud 10 Langkah Mudah
Home Itats Institut Teknologi Adhi Tama Surabaya
Teknik Mesin Wikipedia Bahasa Indonesia Ensiklopedia Bebas
Fakultas Teknik Program Studi Prodi Teknik Lingkungan Program
Teknik Lingkungan Di Beberapa Perguruan Tinggi Bk Blog Kompetensi
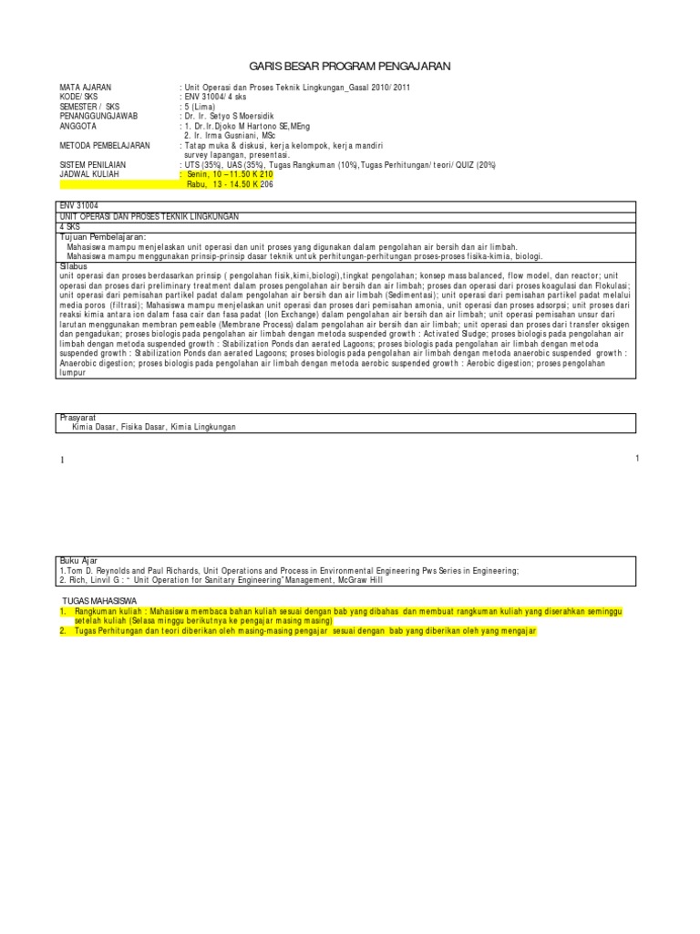
Gbpp Unit Operasi Dan Proses Tl Gasal 201011
Jurusan Teknik Lingkungan Youthmanual
Fakultas Teknik Untag Samarinda
Cendekia Teknika Informasi Biaya Kuliah Dan Beasiswa Fakultas
Kuliah Online Institut Teknologi Sepuluh Nopember
Akademik Departemen Teknik Lingkungan Universitas Diponegoro
Giveaway Resensi Buku Jurusan Teknik Lingkungan
Jual Buku Kuliah Jurusan Apa Jurusan Teknik Lingkungan Oleh
Fakultas Teknik Universitas Lampung
Mata Kuliah Wajib Jurusan Teknik Kimia
Teknik Sipil Wikipedia Bahasa Indonesia Ensiklopedia Bebas
Kuliah Teknik Di Luar Negeri Universitas Terbaik 2019
Fakultas Teknik Program Studi Prodi Teknik Lingkungan Program
Pdf Diktat Sampah Prof Damanhuri Duan Riduan Academia Edu
Inilah Prospek Kariermu Apabila Kamu Lulusan Its
Asesmen Lapangan Prodi Teknik Lingkungan S1 Sttl Mataram


